Sunday February 2026

হটলাইন

সেবা এবং ধাপ

নং শিরোনাম সেবার ধাপ কার্যকলাপ
  
উপজেলা পর্যায়ে উন্নত/নতুন কৃষি প্রযুক্তি/ফসলের জাত সম্প্রসারণের প্রসেস ম্যাপঃ দেখুন
উপজেলা পর্যায়ে কৃষি প্রযুক্তি সংক্রান্ত প্রশিক্ষণের প্রসেস ম্যাপঃ দেখুন
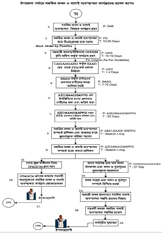
উপজেলা পর্যায়ে সমন্বিত ফসল ও বালাই ব্যবস্থাপনা প্রসেস ম্যাপঃ দেখুন
উপজেলা পর্যায়ে কৃষি উপকরণ সহায়তা (ভর্তুকি) বিতরণের প্রসেস ম্যাপঃ দেখুন
উপজেলা সার ডিলার নিয়োগের প্রসেস ম্যাপঃ দেখুন
দেখছেন ১ থেকে ৫ পর্যন্ত, মোট ৫ এন্ট্রি

এক্সেসিবিলিটি

স্ক্রিন রিডার ডাউনলোড করুন